摘要:目的 通过生物信息学方法,利用R语言编程进行数据挖掘,寻找宫颈癌中有意义的基因。方法 从TCGA数据库下载宫颈癌患者临床信息以及RNA-seq数据。使用R语言limma包进行差异表达分析,筛选差异表达基因。使用STRING数据库和Cytoscape软件进行蛋白互作网络分析。使用R语言clusterProfiler包通过KEGG数据库,GO数据库进行信号通路富集分析。使用数据库GEPIA2
摘要:目的 探索KDELR1在低级别胶质瘤(LGG)中的表达、预后及对免疫细胞浸润的影响,为进一步深入研究其下游的分子调节机制提供依据。方法 应用GEPIA2数据库分析KDELR1在不同类型肿瘤中的表达情况,同时评估不同类型肿瘤中KDELR1与患者预后之间的相关性。随后应用TIMER数据库分析LGG中KDELR1与免疫细胞浸润之间的关系。最后,应用LinkedOmics和BioGRID这两个在
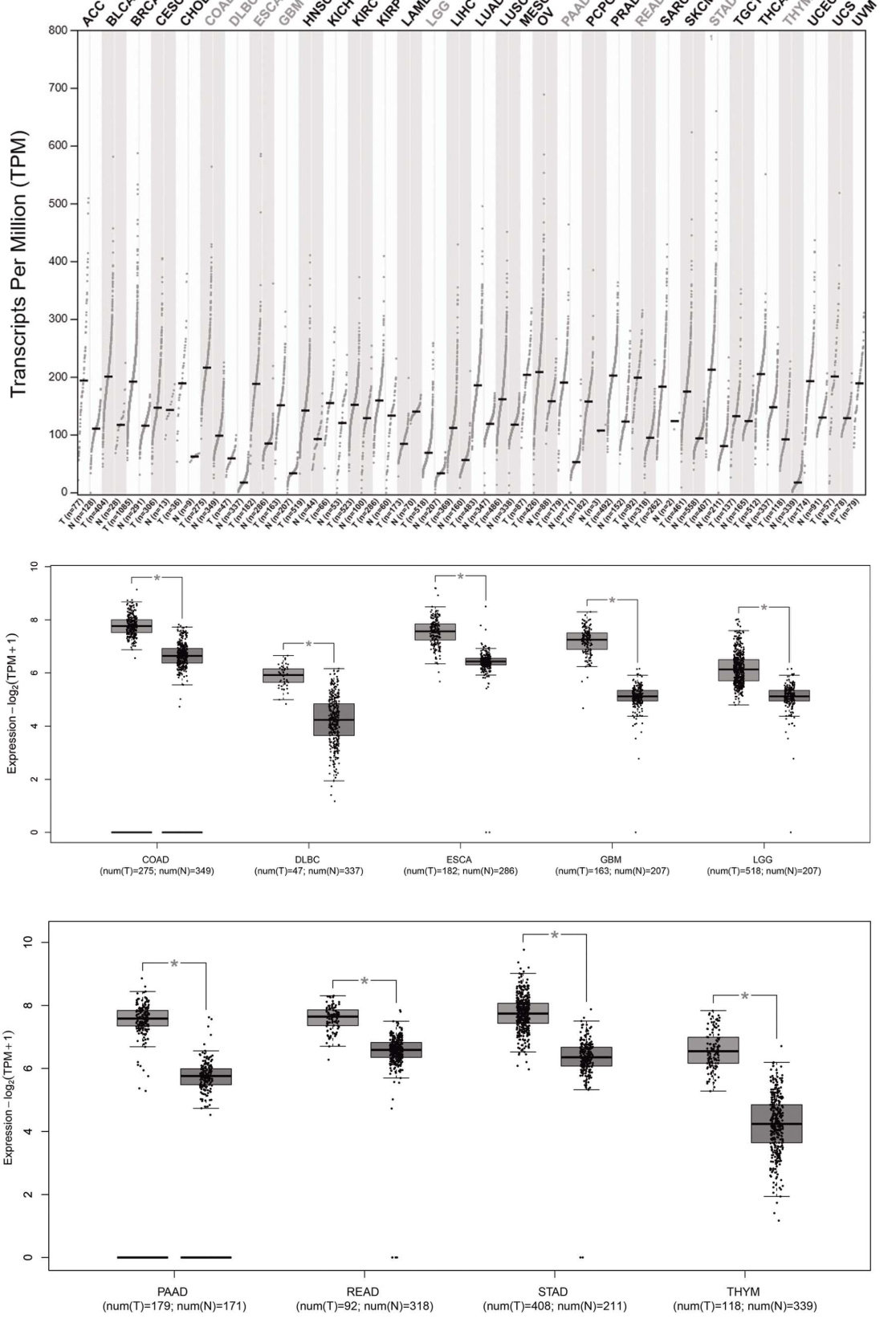
摘要:目的 探讨高表达CTNNB1对胃腺癌预后的影响。方法 基于TCGA、GTEx、TIMER生物信息学平台收集胃癌患者的CTNNB1表达、临床病理、免疫浸润及生存等信息,比较不同基因表达水平、性别、肿瘤分期、肿瘤转移、肿瘤分化、Lauren分类、治疗方式、Hp感染状态及免疫细胞浸润水平的胃癌患者CTNNB1表达情况,另基于Kaplan-Meier和Cox回归分析探讨CTNNB1表达与胃癌患者
摘要:目的 对我国近五年医学教育领域的研究热点进行分析,为提升医学教育质量、优化人才培养结构提供借鉴。方法 以中国知网期刊数据库中的高水平论文作为数据源,采用基于医学学科、教学机构和教学对象的3种主体检索词词表,以及与教育教学和教学方法相关的2种客体检索词词表进行检索,对检索结果种的关键词进行了共现分析,进一步对共现结果采用pathfinder寻径算法和聚类分析,采用潜在语义索引(LSI)算法
摘要:目的 分析全身振动训练在康复领域应用的研究现状、热点及趋势,以期为全身振动训练相关研究提供参考。方法 检索2013年1月-2023年10月中国知网(CNKI)和Web of Science核心合集数据库中有关全身振动训练在康复领域应用的相关文献,采用CiteSpace 6.1.R6软件对文献进行可视化分析。结果 共纳入1115篇文献,中文文献113篇,英文文献1002篇。发文量总体呈现
摘要:目的 通过可视化分析我国老年康复治疗领域研究概况,发展脉络及研究热点,为后续进一步研究提供参考。方法 检索中国知网(CNKI)数据库中2018年1月-2023年10月收录的老年康复治疗相关中文文献,利用CiteSpace6.2R2软件对相关作者、机构及关键词进行可视化分析。结果 共纳入6813篇文献,发文量总体呈下降趋势,发文量最高的作者是王静,发文量最高的机构为复旦大学附属华山医院康
摘要:目的 总结经导管主动脉瓣置入术后患者动静脉血栓预防和管理的最佳证据,为临床护理提供依据。方法 计算机检索国内外数据库、指南网以及专业协会相关网站,检索时间为建库至2023年4月,从中选出符合要求的文献,对纳入文献进行文献质量评价和证据提取。结果 共纳入12篇文献,其中4篇指南、6篇专家共识和2篇系统评价;提取28条最佳证据,归纳为风险评估、动脉血栓预防、静脉血栓预防、健康宣教4个方面。
摘要:目的 调查延安市宜川县域毒蛇咬伤的流行病学特点,完善流行病学资料。方法 选取2020年5月-2023年9月宜川县人民医院急诊科就诊的78例蛇咬伤患者为研究对象,其中资料完整的65例,收集患者年龄、性别、职业、蛇咬伤种类、蛇咬伤季节及时间、蛇咬伤部位、就诊时间、严重程度、预后等资料并进行分析。结果 所有病例均为蝮蛇咬伤;主要群体是农民,年龄5~78岁,平均年龄50.10岁;男性为主,占6
摘要:目的 观察pH敏感性水凝胶荷载卡铂对肺癌细胞增殖的抑制作用。方法 采用化学交联法,以聚乙烯吡咯烷酮(PVP)、壳聚糖及多巴胺为材料,合成pH敏感性水凝胶;采用人红细胞及脐静脉内皮细胞体外共培养,测定pH敏感性水凝胶的溶胀性、安全性及载药释放能力;采用A549 人肺腺癌细胞体外共培养,研究pH敏感性水凝胶荷载卡铂对肺腺癌细胞增殖的抑制作用。结果 通过化学交联法合成的pH敏感性水凝胶具有良
摘要:目的 比较不同加力方式、不同“8”字结扎力度下,近中移动下颌第二磨牙时各支抗牙和磨牙的牙周组织应力分布和位移趋势。方法 选择1例女性志愿者,建立牙列-牙周膜-下颌骨-固定矫治器-牙列整体连扎的三维有限元模型,在建立的模型上加载150 g的力,分别在颊侧加力和颊舌侧加力、预紧载荷a=0和a=0.01时,对其进行加载和计算。结果 磨牙近中移动时,无论在哪一种条件下,牙颈部的力值最大,其次是
摘要:目的 探究温通针法联合酸枣仁汤对失眠症患者情绪状态及睡眠质量的影响。方法 选取2020年1月-2023年12月铅山县中医院收治的62例失眠症患者为研究对象,按照随机数字表法将其分为对照组和研究组,每组31例。对照组给予艾司唑仑片治疗,研究组给予温通针法联合酸枣仁汤治疗。比较两组临床疗效、情绪状态(SAS评分、SDS评分)、睡眠质量(入睡时间、夜间苏醒、早醒、总睡眠时间、总睡眠质量、白天情
摘要:目的 分析数字减影血管造影(DSA)下经鼻肠梗阻导管置入联合丙氨酰谷氨酰胺及七叶皂苷钠在治疗急性粘连性肠梗阻中的作用。方法 选取2023年6月-12月赣州市南康区第一人民医院收治的急性粘连性肠梗阻患者60例作为研究对象,按照随机数字表法将其分为对照组和观察组,每组30例。对照组予以经鼻肠梗阻导管置入治疗,观察组予以DSA下经鼻肠梗阻导管置入联合丙氨酰谷氨酰胺及七叶皂苷钠治疗。比较两组临床
摘要:目的 对子宫动脉栓塞术与高强度聚焦超声消融术治疗子宫腺肌病术后的妊娠结局进行比较分析,探讨两种方法对患者妊娠率及妊娠结局的影响。方法 选取2019年1月-2020年12月在我院确诊为子宫腺肌病的患者,经药物治疗效果不满意,且有生育要求者。患者无明显禁忌证,子宫小于孕50 d,根据患者病情和个人意愿,自主选择子宫动脉栓塞术或高强度聚焦超声消融术进行治疗。共纳入患者99例,其中接受子宫动脉栓
摘要:目的 探讨抗精神病药物联合作业疗法对精神分裂症患者社会功能和生活质量的影响。方法 选取2021年11月-2023年10月上栗县精神病专科医院收治的精神分裂症患者60例为研究对象,根据随机数字表法分为对照组与研究组,各30例。对照组应用抗精神病药物治疗,研究组在对照组基础上应用作业疗法治疗。比较两组心理状态(HAMA评分、HAMD评分)、精神症状(阳性症状、阴性症状、一般精神病理症状、总分
摘要:目的 研究基于DSA下肠梗阻导管置入在粘连性肠梗阻患者中的治疗效果及对胃肠功能的影响。方法 采用随机数字表法将2019年3月-2022年3月我院诊治的80例粘连性肠梗阻患者分为对照组和研究组,各组40例。对照组给予传统常规鼻胃管实施胃肠减压治疗,研究组给予基于DSA下的肠梗阻导管置入治疗,比较两组临床效果、症状缓解时间、临床治疗指标、并发症发生率、生活质量(SF-36)评分。结果 研究
摘要:目的 观察输尿管软镜钬激光碎石术与体外冲击波碎石术治疗输尿管结石的临床效果。方法 选取2022年3月-2024年2月全南县人民医院收治的68例输尿管结石患者作为研究对象,采用随机数字表法分为对照组和研究组,各34例。对照组采用体外冲击波碎石术治疗,研究组采用输尿管软镜钬激光碎石术治疗。比较两组围术期指标(手术耗时、术中出血量、血红蛋白降低值、术后VAS评分、住院时长)、并发症发生率(输尿
摘要:目的 研究瑞芬太尼复合丙泊酚静脉麻醉用于无痛胃肠镜检查的临床作用及安全性。方法 选取2023年6月-2024年4月在我院进行无痛胃肠镜检查的60例患者为研究对象,采用随机数字表法分为对照组和观察组,各组30例。对照组采用丙泊酚静脉麻醉,观察组采用瑞芬太尼复合丙泊酚静脉麻醉,比较两组麻醉指标(苏醒时间、定向力恢复时间、麻醉起效时间)、应激反应指标、麻醉效果、Ramsay镇静评分以及不良反应
摘要:目的 研究玻璃酸钠关节腔注射联合膝关节镜治疗半月板损伤的临床效果。方法 选取2022年1月-2024年1月高安市骨伤医院收治的62例半月板损伤患者,经随机数字表法分为对照组(31例)和观察组(31例)。对照组行膝关节镜治疗,观察组在其基础上联合玻璃酸钠关节腔注射治疗,比较两组康复效果、症状情况[JOA半月板损伤评分、疼痛视觉模拟评分(VAS)]、行动能力(Lysholm膝关节量表、Teg
摘要:目的 了解HIV/AIDS慢性创面住院患者的临床特征及转归,为HIV/AIDS患者慢性创面患者正确、合理、有效地选择治疗方法提供理论依据。方法 回顾性分析2019年1月-2021年7月在南宁市第四人民医院艾滋病科住院的148例HIV/AIDS患者感染创面的临床资料,采用SPSS 23.0统计学软件对患者的人口学、病因学、细菌病原学、治疗方式及结果、住院时间和住院费用卫生经济学相关内容进行
摘要:目的 研究不同层面穿刺的双侧穿刺经皮椎体成形术治疗骨质疏松性胸腰椎压缩骨折的临床疗效。方法 选取弋阳县人民医院2021年6月-2023年12月收治的拟行双侧穿刺经皮椎体成形术治疗的70例骨质疏松性胸腰椎压缩骨折患者为研究对象,采用随机数字表法分为对照组35例和观察组35例。对照组穿刺针尖位于同一层面,观察组穿刺针尖处于不同层面(上1/3层和下1/3层)。比较两组临床手术时间、骨水泥注入量
摘要:目的 观察外固定术、封闭负压引流(VSD)联合皮瓣和皮片移植治疗胫腓骨开放性骨折合并软组织缺损疗效。方法 选取2021年4月-2023年4月在我院诊治的80例胫腓骨开放性骨折合并软组织缺损患者为研究对象,采用随机数字表法分为对照组(n=40)和观察组(n=40)。对照组采用外固定术联合皮瓣和皮片移植治疗,观察组采用外固定术+VSD联合皮瓣和皮片移植治疗,比较两组临床疗效、临床恢复指标、并
摘要:目的 分析游离股前外穿支皮瓣修复对足背创面患者足部外观及功能的影响。方法 选取2020年1月-2023年12月高安市骨伤医院收治的50例足背创面患者作为研究对象,依据随机数字表法将其分为对照组和研究组,各25例。对照组实施传统带蒂皮瓣修复,研究组实施游离股前外穿支皮瓣修复。比较两组皮瓣成活率、修复部位皮肤弹性、临床指标(创面愈合时间、换药次数、住院时间、肉芽组织重新生长时间)、术后外观满
摘要:目的 比较右美托咪定与舒芬太尼静脉滴注在阑尾切除术中的镇痛作用及不良反应。方法 选取2023年1月-2024年2月德安县中医医院收治的118例急性阑尾炎患者为研究对象,根据随机数字表法将其分为对照组和研究组,每组59例。对照组采用舒芬太尼进行麻醉,研究组采用右美托咪定进行麻醉。比较两组不良反应(肢体活动、恶心呕吐、呛咳、喉痉挛)发生情况、血流动力学指标[心率(HR)、平均动脉压(MAP)
摘要:目的 分析双歧杆菌乳杆菌三联活菌片联合干扰素治疗轮状病毒性肠炎的效果及对肠道微生态的影响。方法 选取2022年5月-2024年4月章贡区妇幼保健院收治的62例轮状病毒性肠炎患儿为研究对象,按照随机数字表法将其分为对照组和研究组,各31例。对照组予以双歧杆菌乳杆菌三联活菌片治疗,研究组在对照组治疗的基础上再予以重组人干扰素α1b治疗。比较两组临床治疗效果、临床症状缓解时间(体温恢复正常时间
摘要:目的 探讨头孢曲松联合乙酰半胱氨酸治疗儿童迁延性细菌支气管炎效果。方法 选取2021年1月-2023年12月余江区妇幼保健院收治的68例迁延性细菌性支气管炎患儿作为研究对象,按照随机数字表法将其分为研究组与对照组,各34例。对照组给予头孢曲松钠治疗,研究组在对照组基础上采取吸入用乙酰半胱氨酸溶液治疗。比较两组治疗总有效率、临床指标(体温恢复时间、住院时间、啰音消失时间、咳嗽持续时间)、炎
摘要:目的 研究盐酸纳布啡注射液在小儿骨折术后镇痛中的麻醉效果及复苏质量。方法 以2020年1月-2023年12月寻乌县人民医院拟行手术治疗的62例小儿骨折患者为研究对象,经随机数字表法分为N组(31例)和S组(31例)。N组采用盐酸纳布啡注射液术后镇痛,S组则选择舒芬太尼术后镇痛,比较两组麻醉效果、苏醒时间(自主呼吸恢复时间、气管导管拔除时间、复苏室停留时间)、复苏质量(改良Aldrete量
摘要:目的 探讨甲巯咪唑联合复合维生素B治疗甲亢的临床疗效与安全性。方法 选取2022年2月-2024年1月于安远县人民医院接受病情诊疗的76例甲亢患者为研究对象,按照随机数字表法将其分为对照组和研究组,各38例。对照组采取甲疏咪唑治疗,研究组在对照组基础上采用复合维生素B6片治疗。比较两组治疗效果、甲状腺功能指标[游离三碘甲腺原氨酸(FT3)、游离甲状腺素(FT4)、促甲状腺激素(TSH)]
摘要:目的 分析肾康注射液对尿毒症血液透析患者残余肾功能(RRF)及微炎症状态的影响。方法 选取2021年1月-2023年9月万载县人民医院收治的60例尿毒症血液透析患者为研究对象,按照随机数字表法将其分为对照组和观察组,每组30例。对照组应用常规血液透析治疗,观察组在对照组基础上应用肾康注射液治疗。比较两组治疗效果、微炎症状态[C反应蛋白(CRP)、白细胞介素-6(IL-6)]、RRF水平、
摘要:目的 探究氟桂利嗪联合倍他司汀对眩晕患者眩晕症状及C反应蛋白、纤维蛋白原水平的影响。方法 选取2022年12月-2024年1月金溪县人民医院收治的66例眩晕患者,行乱数表法分为对照组(33例)与观察组(33例),对照组采用氟桂利嗪治疗,观察组在其基础上联合倍他司汀治疗,比较两组临床疗效、眩晕症状[眩晕症状量表(VSS)、眩晕障碍问卷(VHQ)]、C反应蛋白(CRP)、纤维蛋白原(Fib)
摘要:目的 研究化痰通络方联合阿托伐他汀治疗脑梗死的临床效果及对其神经功能的影响。方法 选取2021年1月-2023年11月抚州市东乡区中医院收治的50例脑梗死患者,经随机数字表法分为对照组(25例)与观察组(25例),对照组给予阿托伐他汀治疗,观察组在其基础上联合化痰通络方治疗,比较两组临床效果、中医症状积分(肢体不便、口眼歪斜、言语不利)、血脂水平[总胆固醇(TC)、甘油三酯(TG)、低密
摘要:目的 研究平喘固本汤和补肺汤加减联合头孢他啶和左氧氟沙星治疗老年慢阻肺(COPD)的临床效果及对其血清学指标的影响。方法 以2021年1月-2023年12月抚州市东乡中医院内二科收治的50例老年COPD患者为研究对象,经抽签法分为西医组(25例)与中西医结合组(25例),两组均接受常规对症治疗。西医组给予头孢他啶+左氧氟沙星治疗,中西医结合组在其基础上加用平喘固本汤和补肺汤加减治疗,比较
摘要:目的 探究阿司匹林联合替格瑞洛在急性冠状动脉综合征(ACS)治疗中的抗血小板作用及副作用。方法 选取2021年1月-2023年12月峡江县中医院收治的62例ACS患者,经随机数字表法分为对照组(31例)与观察组(31例),对照组采用阿司匹林抗血小板治疗,观察组采用阿司匹林+替格瑞洛抗血小板治疗,比较两组治疗前后的全球急性冠脉事件注册危险(GRACE)评分、胸痛TIMI评分、血小板参数[血
摘要:目的 分析重症监护室多重耐药菌感染的病原学特点及敏感性。方法 选取2020年10月-2023年10月吉安县人民医院ICU患者血液、尿液、脓液、脑脊液、渗出液、肺泡灌洗液、支气管灌洗液、胸腹水、分泌物及痰液标本265份,运用MIC浓度法实施病原菌鉴定,统计其分布情况,分析重症监护室多重耐药菌感染的病原学特点,并且运用药物敏感性试验鉴别药物敏感性。结果 共65例标本被检验出多重耐药病原菌,
摘要:目的 比较结核分枝杆菌分子生物检测与常规痰涂片检验结核菌的临床效果。方法 选取2021年5月-2023年6月在我院进行结核菌检测的60例患者为研究对象,均进行结核分枝杆菌分子生物检测和常规痰涂片检验,以培养并鉴定分枝杆菌的生长为“金标准”,观察两种检测方法结核菌检出准确率、诊断效能、不同检测方法对结核菌诊断准确率与结核分枝杆菌培养结果的一致性。结果 结核分枝杆菌分子生物检出结核菌准确率
摘要:目的 观察CD3+、CD4+、CD8+T淋巴细胞计数检验对肺炎支原体肺炎患儿的临床诊断价值。方法 选取2022年9月-2023年11月信丰县人民医院收治的60例肺炎支原体肺炎患儿作为研究组,另选取同期60例健康儿童作为对照组。比较两组CD3+、CD4+、CD8+T淋巴细胞计数指标水平,分析单项指标检测的阳性率及联合检测的阳性率结果,并分析以上三项T淋巴细胞计数在诊断肺炎支原体肺炎患儿中的
摘要:目的 探讨规范化心理护理对混合痔外剥内扎术患者围手术期不良心理和术后疼痛的影响。方法 选取2020年8月-2023年5月乐安县人民医院外科收治的混合痔患者58例作为研究对象,按照随机数字表法将所有患者分为对照组和研究组,每组29例。对照组应用常规护理,研究组应用规范化心理护理。比较两组疼痛程度、心理状态、生活质量、术后并发症发生率。结果 两组疼痛评分低于术前,且研究组疼痛评分低于对照组
摘要:目的 分析延续护理结合家属健康教育在湿疹治疗中的护理效果及对健康知识水平的影响。方法 选取2021年1月-2023年2月宜春市皮肤病防治综合医院皮肤科收治的60例湿疹患者作为研究对象,按照随机数字表法将所有患者分为对照组和研究组,每组30例。对照组应用延续护理,研究组应用延续护理结合家属健康教育。比较两组护理效果、健康知识水平、生活质量(躯体功能、心理功能、社会功能、物质生活)、心理状态
摘要:目的 探讨2型糖尿病患者应用互动式健康宣教联合膳食管理的效果。方法 按照随机数字表法将2021年1月-2023年7月吉安市中心人民医院收治的90例2型糖尿病患者分为A组、B组及C组,各30例。A组采用常规护理,B组在A组基础上采用互动式健康宣教,C组在B组基础上采用膳食管理。对三组糖代谢指标(FPG、2hPG、HbA1c)、脂代谢指标(TG、TC、HDL-C、LDL-C)、体质量指标(B
摘要:目的 评价基于微信平台的护理干预对病毒性肝炎患者自我管理能力及生存质量的影响。方法 选取2022年1月-2023年6月龙南市第一人民医院就诊的60例病毒性肝炎患者为研究对象,按照随机数字表法将患者分为对照组与研究组,每组30例。对照组接受传统健康教育,研究组在对照组基础上接受基于微信平台的护理干预,比较两组健康知识(病毒性乙型肝炎危害、表现、传播、预防、注意事项、饮食、作息、复查)掌握度
摘要:目的 研究知信行(KAP)护理模式对糖尿病患者血糖控制、并发症以及护理满意度的影响。方法 选取瑞州医院2020年3月-2023年3月诊治的糖尿病患者45例为研究对象,采用随机数字表法分为对照组22例和观察组23例,对照组采用常规护理干预,观察组在对照组基础上给予KAP护理模式干预。比较两组血糖指标、并发症发生率、护理满意度、生活质量水平。结果 与干预前比较,两组干预后空腹血糖(FPG)