摘要:针对高速动车组运行过程中轴箱螺栓出现的松动问题,利用有限元软件HYPERMESH建立B类轴箱螺栓的有限元模型,并通过有限元分析软件ABAQUS来模拟螺栓连接的受力过程,对螺栓的松动机理进行分析。研究不同交变载荷幅值、预紧力对工作螺纹表面的等效应力分布、切应力以及滑移状态的影响。结果表明,在轴向交变载荷作用下,随着圈数增加,工作螺纹受到的等效应力、切应力和滑移量逐渐减小。保持螺栓预紧力不变的情况下,增大轴向交变载荷幅值会导致等效应力和切应力增加,滑移量增大,使得螺纹表面更容易发生滑移。增大螺栓的初始预紧力会使螺纹表面不容易发生滑移,但过大的预紧力会导致螺栓连接失效。研究结果有助于分析和预测螺栓连接的稳定性和可靠性。
摘要:以大型阵列蜂窝器堆叠结构为研究对象,为了克服在力学性能分析中因其整体结构巨大而产生的模型特征多难以建模、数值计算规模大难以计算的问题,首先以单个蜂窝模块为切入点,开展网格无关性验证工作。在此基础上,采用“子结构”建模方法将整体结构合理划分为多个子结构,分别对其进行精细建模与分析,从而可以显著降低建模复杂度。同时,引入“重力等效压力”简化建模方法,通过将重力转化为等效压力施加于底层模型,从而极大地提高了计算效率,在一定程度上给出了蜂窝器堆叠结构的实际结构力学分析的上限。为进一步提升分析效率,采用分布行与分布列简化建模方法,针对强度与刚度的变化趋势展开细致对比。结果表明,在能够充分保证分析精度的前提下,该方法能够精准给出实际结构力学分析的下限。这些简化建模方法相互配合,能够高效且准确地校核大型阵列堆叠结构的力学性能。
摘要:开展了在不同振动载荷(横向交变载荷和轴向交变载荷)作用下嵌件锁紧螺母的失效行为研究。横向交变载荷下对嵌件锁紧螺母和普通螺母进行防松性能试验,综合分析螺栓轴向力衰减行为及连接结构的响应曲线,揭示嵌件锁紧螺母的松动失效机理;通过改变交变载荷幅值探究嵌件锁紧螺母对提高连接结构寿命的作用,再结合宏微观分析手段对损伤区域进行损伤分析。结果表明横向交变载荷下,嵌件锁紧螺母轴向力下降速度较缓,表明具有良好抗松动能力。在轴向交变载荷下,嵌件锁紧螺母可以缓解整个螺栓的应力集中现象,改善整个螺母的应力分布,减轻微动磨损对于非嵌件部分螺纹的损伤。磨损机制为疲劳磨损、氧化磨损、粘着磨损以及磨粒磨损。
摘要:为了适应轮轨车辆的发展和实现节能减排的目标,借鉴常导高速磁浮中长定子直线电机驱动理念,在传统轮轨车辆的基础上结合磁浮列车非黏着牵引、非黏着制动特点,提出了一种新型轻轴轮轨车辆总体方案,在保持载重不降低的前提下,极大地减少了车辆轴重,从而降低了轮轨磨耗,增加轮对的使用寿命。基于多体动力学软件SIMPACK建立了车辆的动力学模型,分析了轨道激励、车重对轮轨磨耗的影响,并对轻轴车辆与传统地铁的磨耗指标进行了对比。结果表明:轨道激励仅在大半径曲线时对车轮磨耗影响较大;小曲线半径下AW3工况的车轮磨耗指数比AWO工况要大,在大曲线半径下则相反;传统地铁的车轮磨耗指数明显高于轻轴车辆车轮磨耗指数,但二者差距随曲线半径增大逐渐减小。
摘要:一系垂向减振器在高速列车转向架中起到关键作用,但其减振效果在复杂振动工况下受到传统结构和材料的限制。为了提高减振性能,本文探索了颗粒阻尼器与一系垂向减振器结合的减振效果。通过离散元仿真与多轴同步振动试验,仿真首先确定了颗粒阻尼器的最优参数,并将其应用于一系垂向减振器上进行减振试验。结果表明,钢球、铁球、铜球、铝球在相同工况下的能耗差异较小,但在多单元分腔设计中,4单元颗粒阻尼器表现出最佳的减振效果。多轴同步振动试验结果可知:颗粒阻尼器在特定频率区间内的动态减振效果明显优于静态情况,且4单元腔体的颗粒阻尼器在 52Hz 和 61Hz 时减振率分别达到 21.9% 和 10% 。研究结果为颗粒阻尼器在高速列车转向架等机械系统中的应用提供了理论依据和实验支持。
摘要:针对现行预防性维修中展现的维修不足或过度维修的问题,提出了一种基于可靠度裕度的高速列车转向架关键部件机会维修决策模型。该模型采用混合故障率模型来描述维修活动对部件的故障率影响,并引入可靠度裕度建立起部件客观的可靠度变化趋势与机会维修窗口的联系,最后应用量子遗传算法,求解得到使维修成本最低的预防维修可靠度与维修次数。基于某型动车组转向架的历史故障数据,考虑故障频次以及部件结构等关系,选取4个关键部对建立的维修模型进行求解分析,结果表明:与传统的单部件预防性维修策略相比,提出的基于可靠度裕度的系统级机会维修策略可降低 38.85% 的维护成本,減少 62.5% 的维修次数,有效提高列车的可用性,从而为高速列车转向架的预防性维修改进提供科学的理论支持与参考。
摘要:碳化硅陶瓷是极端环境与精密制造领域结构件的常用材料,拥有大量的制孔需求。由于碳化硅陶瓷具有硬脆性,其制孔过程中常常面临刀具磨损严重与加工质量差等难题。本文针对碳化硅陶瓷的制孔难题,开展碳化硅陶瓷超声振动螺旋磨孔研究。通过开展超声振动螺旋磨孔试验,揭示了超声振动螺旋磨削制孔砂轮磨损规律和盲孔底面创成机制。螺旋进给方式使得外圈高速磨粒的运动轨迹发生改变,避免了常规无偏心磨削方式中砂轮底面中心磨粒的过度磨损;引入超声振动后,砂轮底面磨粒的整体磨损降低。相较于常规无偏心磨削方式,超声振动螺旋磨削工艺能够显著提升孔的表面质量,使盲孔底面粗糙度最大降幅达到 41.8%
摘要:针对不锈钢车体车顶结构易出现焊点冗余和薄弱的问题,提出一种基于静动态多工况的焊点拓扑优化方法。在满足车体静动态性能的前提下,采用折衷规划法整合静动态多工况,并利用层次分析法分配各工况权重系数,建立考虑静动态多工况的焊点拓扑优化模型。通过对车顶子模型进行拓扑优化,分析了焊点分布规律,获得了新的焊点布置方案。优化后的车体各项性能均满足要求,且焊点数量减少至原方案的 66.06% 。结果表明,基于静动态多工况的焊点拓扑优化方法能够有效指导焊点布置,在保证车体性能的同时显著降低焊点数量。
摘要准确的材料本构方程是实现其拉伸成型过程材料变行及流变应力仿真预测的重要前提,研究了2A14铝合金拉伸试样在温度为 270~470°C. 、应变速率为 0.001~1s-1 、取样方向在 0° 、 45° 和 90° 下的流变行为,获得了2A14铝合金的真实应力一应变曲线。结果表明:三种取样方向下2A14铝合金的真实应力一应变曲线数据误差最大不超过 5% ,球壳在不同取样方向上的应力应变基本相同。2A14铝合金的流变应力表现出温度与应变速率协同效应:随着变形温度的升高,材料软化效应占主导地位,流变应力呈下降趋势;而在恒定温度下,位错增殖速率随应变速率增加而加快,导致流变应力增大。通过Airhenius方程,从变形温度、应变速率和流变应力的相关性,拟合获得了2A14铝合金高温变形的材料常数与本构方程。将此本构方程用于2A14铝合金球壳件的热成型仿真模拟中,获得了球壳件热拉伸成型过程中应力应变结果。本次研究结果将为2A14铝合金球壳构件拉伸成型过程及后续工艺研究提供理论参考。
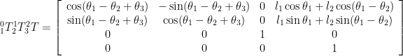
摘要:以履带式采摘机器人为研究对象,围绕其运动分析与运动轨迹规划展开研究。首先,基于D-H参数法建立了三自由度机械臂的运动学模型,通过MATLAB软件进行运动学分析,明确了机器人各关节之间的空间位置关系及末端执行器的位姿计算方法。正运动学分析能够根据关节角度精确计算末端执行器的位置和姿态,为运动控制提供基础数据。逆运动学分析则通过目标位姿反推关节角度,确保机器人准确到达目标位置。其次,采用五次多项式插值规划方法对机械臂的运动轨迹进行优化,确保关节空间轨迹的平滑性和稳定性,有效避免采摘过程中机械臂运动突变,提高作业效率和稳定性。研究通过MATLAB仿真验证了运动学模型的准确性和轨迹规划方法的可靠性,结果表明该方法能够显著提升机械臂操作的精度和稳定性。本文研究为履带式采摘机器人在复杂地形中的应用提供了理论支持和技术保障,对推动农业自动化发展和提高生产效率具有重要意义。